کدخبر :279250 پرینت
22 فروردین 1402 - 06:01

دانش‌آموزان نابغه ریاضیدانان بزرگ را متحیر کردند!

دو نوجوان دبیرستانی، موفق به انجام کاری شدند که ریاضیدانان تا به امروز قادر به انجامش نشده بودند.

متن خبر

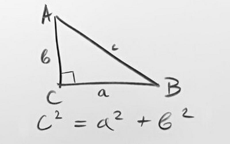
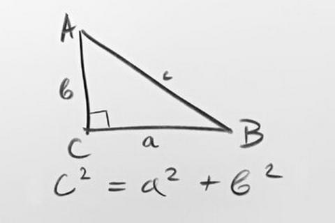
به گزارش سیتنا، قضیه فیثاغورث که در قرن ششم قبل از میلاد مسیح توسط فیثاغورث، ریاضیدان یونانی کشف شده بود، سنگ بنای ریاضیات است. فرمول این قضیه a۲ + b۲ = c۲ است و بر این فرض است که مجموع a۲ و b۲ که دو ضلع کوتاه‌تر یک مثلث قائم‌الزاویه هستند، برابر با c۲ که وتر مثلث است خواهد بود.

در طول قرن‌ها، این ایده توسط برترین نخبه‌های تاریخ، مانند آلبرت اینشتین، جیمز گارفیلد (رئیس جمهور اسبق آمریکا) و حتی خود فیثاغورث اثبات شده است.

در حقیقت صدها اثبات برای قضیه فیثاغورث وجود دارد که اگر نه همه آنها، بله اکثرشان به طور مستقل نتوانسته‌اند تا با استفاده از مثلثات آن را اثبات کنند. دلیل این موضوع این است که مبانی این قضیه، چیزی است که کل حوزه مثلثات برپایه آن بنا شده است. از همین رو، استفاده از مثلثات برای اثبات این قضیه، به کارگیری چیزی است که "استدلال دایره‌ای" نامیده می‌شود.

برخی ریاضیدانان بر این باور بودند که اثبات مستقل قضیه فیثاغورث از طریق مثلثات تقریبا غیرممکن است؛ یکی از آنها الیشا لومیس است که در کتابش در این زمینه (که یک قرن پیش منتشر شد) به این نکته اشاره کرده که هیچ برهان مثلثاتی وجود ندارد؛ چرا که تمام فرمول‌های اساسی مثلثات به خودی خود بر پایه قضیه فیثاغورث بنا شده‌اند.

اما حالا دو دانش آموز دبیرستانی در نیواورلئان آمریکا، این غیرممکن را ممکن کرده اند.

به گزارش یک ایستگاه خبری محلی، کالسئا جانسون و انکیا جکسون، دو دانش‌آموز دبیرستانی از دبیرستان سنت‌مری، مدرک جدیدی را به کنفرانس سالانه جنوب‌شرقی انجمن ریاضی آمریکا ارسال کردند که در آن به این نکته اشاره شده که چطور می‌توان از قانون سینوس‌ها برای اثبات قضیه فیثاغورث که ۲۶۰۰ ساله است بهره برد. جانسون و جکسون با بهره‌گیری از قانون سینوس‌ها و اجتناب ازهویت قضیه فیثاغورث (sin²α + cos²α = ۱)، این قضیه را بدون استفاده از استدلال دایره‌ای، اثبات کردند.

جانسون در این رابطه گفت:« این یک احساس بی‌نظیر است. راستش هیچ‌چیز به این اندازه خوشحال‌کننده نیست که بتوانید کاری را انجام دهید که مردم فکر می‌کنند که جوانان از پس آن بر نمی‌آیند. خیلی وقت‌ها این چیزها را می‌بینید و به‌ندرت پیش می‌آید که بچه‌هایی مثل ما این کار را انجام دهند.»

انجمن ریاضی آمریکا نیز در پستی در فیس‌بوک اعلام کرد که این دو ریاضیدان جوان تشویق شده‌اند تا نتایج کارشان را برای یک مجله معتبر ارسال کنند. اگرچه هنوز جزئیات کامل این اثبات منتشر نشده، ولی یوتیوبری با نام کاربری MathTrain بر این باور است که با تجزیه و تحلیل عکس‌های یک گزارش خبری محلی، توانسته به‌صورت تقریبی به اثبات قانون سینوس جانسون و جکسون دست بیابد.

گرچه این اثبات، یک اتفاق بزرگ در دنیای ریاضیات است، اما پیش از این نیز برخی دیگر از ریاضیدانان از رویکردهای مشابهی استفاده کرده‌اند و با بهره‌گیری از سینوس و کسینوس به‌صورت مستقل و بدون اتکا به sin²α + cos²α = ۱، برای اثبات مستقل قضیه فیثاغورث اقدام کرده‌اند. اما جدای از تمام این تلاش‌ها، دستاورد بزرگ جانسون و جکسون، بسیار چشمگیر است. دقیقا مثل آلبرت اینشتین که این قضیه را در سن ۱۲ سالگی اثبات کرد، این بارهم یک اثبات شگفت‌انگیز ریاضی، در نتیجه نبوغ ذهن‌های چند جوان به دست آمده است.

انتهای پیام

نظرات خود را با ما درمیان بگذارید

افزودن دیدگاه جدید

کپچا
CAPTCHA ی تصویری
کاراکترهای نمایش داده شده در تصویر را وارد کنید.